Αναζητώντας κάποιος τα αίτια της οικονομικής κατάρρευσης της χώρας σίγουρα το πρώτο πράγμα που θα ανακαλύψει και θα αποκαλύψει δεν είναι τίποτα άλλο παρά από τα διαχρονικά και συνεχή εγκλήματα του Ελληνικού τραπεζικού συστήματος όπου για πάρα πολλά χρόνια με την ανοχή και την σιωπή του πολιτικού προσωπικού της χώρας εγκληματούν εις βάρος μιας κοινωνίας και ενός ολόκληρου έθνους..
Ολα αυτά βέβαια γίνανε με την ανοχή την σιωπή και τις ευλογίες της κεντρικής τράπεζας όπου κάποια στιγμή ο Ελληνικός λαός θα πρέπει να απαιτήσει δικαιοσύνη και να οδηγήσει τους κεντρικούς τραπεζίτες της χώρας που διετέλεσαν ως διοικητές στα έδρανα της..
Χαρακτηριστικό παράδειγμα των εγκληματικών πρακτικών που εφαρμόσανε οι Ελληνικές τράπεζες για πάρα πολλά χρόνια ήταν η διαχείριση των δανείων που χορηγηθήκανε εντός Ελληνικής επικρατείας και σε μια νύχτα τα μεταβιβάζανε σε εταιρείες ειδικού σκοπού με έδρες είτε άλλες χώρες είτε σε φορολογικούς παραδείσους..
Η τιτλοποίηση και η μεταβίβαση στοιχείων του ενεργητικού των Ελληνικών τραπεζών ήταν μια σύνηθες πρακτική που εφαρμόζανε οι τράπεζες για πάρα πολλά χρόνια..
Οι λόγοι πασιφανείς είτε για να μακιγιάρουν τους ισολογισμούς τους είτε γιατί θέλανε να φοροδιαφεύγουν..Το Ελληνικό δημόσιο μέσω αυτών των πρακτικών έχει χάσει πάρα πολλά δις ως εισπραχθέντες φόρους μια και οι τράπεζες διαχειρίζονταν πελάτες και δάνεια αυτών μέσω ξένων εταιρειών για την εν λόγω φοροδιαφυγή πολλών δισεκατομμυρίων δεν μιλά κανείς και δεν υπάρχει κανείς έλεγχος από τα αρμόδια φορολογικά όργανα του Υπουργείου Οικονομικών.
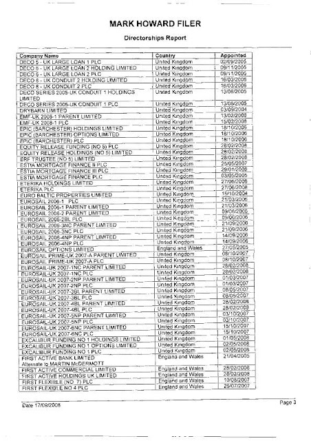
Χαρακτηριστική περίπτωση είναι αυτή η μακριά λίστα των εταιρειών ειδικού σκοπού που έχουν οι στίσει οι τράπεζες μόνο στην Αγγλία με θεματοφύλακα τον συνήθη ύποπτο την wilmington trust..όπου μέσω αυτών απαιτούσαν τις πληρωμές των πελατών τους αλλά ακόμη και την διαχείριση των κόκκινων δανείων
ΔΕΙΤΕ ΚΑΙ ΑΠΟΛΑΥΣΤΕ ΕΛΛΗΝΙΚΗ ΤΡΑΠΕΖΙΚΗ ΔΙΑΧΕΙΡΙΣΗ ΜΕ ΤΗΝ ΛΙΣΤΑ ΕΚΑΤΟΝΤΑΔΩΝ ΕΤΑΙΡΕΙΩΝ ΕΙΔΙΚΟΥ ΣΚΟΠΟΥ ΠΟΥ ΣΤΗΝΑΝΕ ΟΙ ΤΡΑΠΕΖΕΣ ΜΟΝΟ ΣΤΗΝ ΑΓΓΛΙΑ






























